Penjelasan Kuartil, Desil, dan Persentil
Kalian pasti tidak asing dengan kata kuartil, apalagi bagi yang seneng pelajaran matematika. Kuartil
dibagi menjadi beberapa bagian yaitu kuartil ke-1, ke-2, dan ke-3. Nah, mari
kita pelajari lebih lanjut tentang kuartil
dan saudaranya yaitu desil, dan persentil.
A. Pengenalan
Kuartil
Mari kita mulai dengan kuartil. Kalian memang tidak asing
dengan kata kuartil. Tapi, apa kalian tau arti dari kata kuartil ? Kuartil
adalah nilai yang menandai batas interval dari sebaran frekuensi yang berderet
dalam empat bagian sebaran yang sama. Kalo belum paham berikut adalah gambaran
dari kuatil dalam data tunggal.
Pada gambar diatas terdapat 3 kotak berwarna, yaitu warna
merah, kuning, dan hijau. Warna merah
menandakan Kuartil ke-1, warna kuning menandakan Kuartil ke-2, dan warna hijau
menandakan Kuartil ke-3.
Pada pengertian kuartil tadi disebutkan “empat bagian sebaran yang sama”. Nah, yang dimaksud dari kalimat
tersebut adalah angka 1, 3, 5, dan 7
pada kotak atas, dan angka 1 dan 2, 3
dan 4, 5 dan 6, 7 dan 8 pada kotak bawah.
B. Cara
Mencari Kuartil pada Data Tunggal
Kuartil pada data tunggal ganjil
Pada
contoh barisan data diatas, kita dapat melihat ada 7 data. Untuk mencari letak
kuartil ke-1, 2, dan 3, kita dapat menggunakan rumus
Sebelum kalian menggunakan rumus kalian harus mengurutkan data yang ada, karena
kebetulan data diatas sudah urut maka langsung saja. Mari kita kerjakan barisan
data diatas sebagai contoh
Jadi Kuartil ke-1 terletak di 2 angka
dari kiri, Kuartil ke-2 terletak
di 4 angka dari kiri, dan Kuartil ke-3 terletak di 6 angka dari kiri. Ingat ! rumus tersebut untuk mencari letak dari kuartil bukan untuk mencari nilainya.
Misal nilai kuartil ke-1 adalah 2 karena ada pada angka ke-2 dari kiri.
Kuartil
pada data tunggal genap
Pada contoh data diatas, terdapat 8 data (n-nya tidak ikut). Rumus dari
data tunggal genap berbeda dari yang
ganjil. Berikut adalah rumus untuk mencari letak kuartil 1, 2, dan 3
Seperti biasa data harus di urutkan
terlebih dahulu. Nah, jika sudah mari kita coba rumusnya.
Jadi, kuartil Ke-1 ada pada angka ke 2,5
dari kiri atau bisa dikatakan berada di tengah tengah bilangan 2 dan 3. Lalu bagaimana cara mencari
nilai kuartilnya ? Nah, jika nilai kuartil ada pada tengah tengah angka. Maka kedua angka tersebut dijumlahkan dan dibagi 2. Contoh pada kuartil ke-1.
Jadi nilai dari kuartil ke-1 adalah 2,5.
Hasilnya sama karena angkanya begitu, kalo misal kedua angkanya adalah 6, maka akan jadi seperti ini.
C. Mencari
Kuartil pada Data Kelompok
|
Nilai
|
Frekuensi
|
|
11 – 20
|
6
|
|
21 – 30
|
22
|
|
31 – 40
|
39
|
|
41 – 50
|
25
|
|
51 – 60
|
7
|
|
61 – 70
|
1
|
Untuk
mencari kuartil ke 1, 2, dan 3 pada tabel diatas kita bisa menggunakan rumus
Untuk mencari kelas yang akan digunakan, kalian bisa menggunakan rumus ini.
Contoh, kita mencari Q1 menggunakan tabel
diatas.
Pertama kita harus mencari
dimana Q1 berada. Caranya kita harus mencari n (banyaknya data). Jumlahkan seluruh Frekuensi pada tabel, hasilnya adalah n = 100. Nah, sekarang mencari kelas Q1, dengan cara
membagi 4 nilai n, hasilnya adalah 25.
Jadi, nilai Q1 ada pada frekuensi ke-25, maka kita akan menggunakan kelas
ke-2, karena frekuensi ke-25 ada
pada kelas ke-2.
Kedua
kita harus mencari nilai-nilai yang ada pada rumus seperti Tb, fk,
f,
dan C.
Setelah semua dicari maka kalian akan mendapat data seperti ini.
Sekarang tinggal dimasukin aja.
Nilai Q1 nya adalah 29,14 (pada penghitungan “(19/2)10” sebenarnya hasilnya adalah 8,6363, tapi
dibuletin jadi 8,64)
D. Pengenalan
Desil
Pada bacaan diatas sudah dijelaskan tentang kuartil sekarang
saya akan menjelaskan tentang desil. Desil
adalah nilai yang menandai batas interval dari sebaran frekuensi yang berderet
dalam sepuluh bagian sebaran yang sama. Memang hampir sama dengan kuartil bedanya kalo kuartil dibagi 4, desil
dibagi 10. Kalo kuartil ada Q1,
Q2, dan Q3, maka desil ada D1,
D2, D3, D4, D5, D6, D7,
D8, dan D9.
E. Mencari
Desil pada Data Tunggal
Diatas
sudah saya jelaskan bahwa kuartil dan desil hampir sama. Maka rumusnya juga
hampir sama. Berikut adalah rumusnya.
Mari kita coba contoh soal. Dengan data
|
3
|
3
|
4
|
5
|
5
|
5
|
6
|
6
|
7
|
7
|
7
|
8
|
8
|
9
|
9
|
9
|
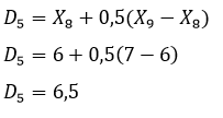
Jumlah data atau banyaknya data pada tabel diatas adalah 16 (n = 16). Misal kita ingin mencari Desil ke-5.
Letak desil ke-5 berada pada 8,5. Bagaimana cara mencari nilainya ?
dapat dilakukan dengan cara seperti ini.
X8
+ 0,5 diperoleh dari 8,5. Sedangkan X9 diperoleh
dari urutan angka selanjutnya.
F. Mencari
Desil pada Data Kelompok
|
Tinggi Badan
|
Frekuensi
|
|
150 – 152
|
8
|
|
153 – 155
|
12
|
|
156 – 158
|
10
|
|
159 – 161
|
17
|
|
162 – 164
|
3
|
Rumus untuk desil berkelompok adalah.
Untuk
mencari kelas yang digunakan kalian dapat menggunakan rumus ini.
Sekarang mari kita coba mencari Desil ke-2
Pertama kita harus mencari
dimana D2 berada. Caranya kita harus mencari n (banyaknya data). Jumlahkan seluruh Frekuensi pada tabel, hasilnya adalah n = 50. Nah, sekarang mencari kelas D2, dengan cara menggunakan
rumus untuk mencari kelas diatas, sehingga (2/10) x 50 = 10. Jadi, nilai D2 ada pada
frekuensi ke-10, maka kita akan
menggunakan kelas ke-2, karena
frekuensi ke-10 ada pada kelas ke-2.
Kedua
kita harus mencari nilai-nilai yang ada pada rumus seperti Tb, fk,
f,
dan C.
Setelah semua dicari maka kalian akan mendapat data seperti ini.
Sekarang tinggal dimasukin aja.
Nilai dari D2 adalah 153.
G. Pengenalan
Persentil
Desil dan Kuartil sudah. Sekarang tinggal Persentil. Persentil adalah nilai yang membagi
data menjadi seratus bagian yang sama besar. Kalo tadi kuartil itu dibagi 4 dan
desil dibagi 2, maka Persentil dibagi
100. Persentil juga dibagi ke
beberapa bagian yaitu P1, P2, P3,
…, P99.
H. Mencari
Persentil pada Data Tunggal
Rumusnya lagi lagi hampir sama seperti kuartil dan desil.
Berikut adalah rumusnya.
Mari kita coba rumusnya dengan soal berikut.
|
4
|
4
|
4
|
5
|
5
|
5
|
5
|
6
|
7
|
7
|
8
|
8
|
8
|
8
|
9
|
Mari kita cari Persentil
ke-65.
Letak persentil ke-65 berada pada 10,4. Bagaimana cara mencari nilainya ? dapat dilakukan dengan cara
seperti ini.
X10 + 0,4 diperoleh dari 10,4. Sedangkan X11 diperoleh
dari urutan angka selanjutnya.
|
Niliai
|
Frekuensi
|
|
51 – 60
|
3
|
|
61 – 70
|
4
|
|
71 – 80
|
9
|
|
81 – 90
|
7
|
|
91 – 100
|
2
|
Rumus untuk mencari Persentil Data Kelompok
adalah.
Untuk mencari kelas yang digunakan kalian dapat menggunakan
rumus ini.
Sekarang mari kita coba mencari Persentil ke-40
Pertama kita harus mencari
dimana P40 berada. Caranya kita harus mencari n (banyaknya data). Jumlahkan seluruh Frekuensi pada tabel, hasilnya adalah n = 25. Nah, sekarang mencari kelas P40, dengan cara
menggunakan rumus untuk mencari kelas diatas, sehingga (4/100) x 25 = 10. Jadi, nilai P2 ada pada
frekuensi ke-10, maka kita akan
menggunakan kelas ke-3, karena
frekuensi ke-10 ada pada kelas ke-3.
Kedua kita harus mencari
nilai-nilai yang ada pada rumus seperti Tb, fk, f,
dan C.
Setelah semua dicari maka kalian akan mendapat data seperti ini.
Sekarang tinggal dimasukin aja.
Nilai dari P40 adalah 73,8.
Jika ada penulisan yang salah atau rumus yang salah mohon
tulis di komentar, karena itu ribet saya jadi males ngoreksi. Dan jika ada yang
belum paham atau artikel ini kurang mohon tulis komentar juga nanti akan saya
perbaiki.
Refrensi :
Sekian artikel tentang Penjelasan
Kuartil, Desil, dan Persentil. Semoga bermanfaat dan sesuai dengan apa yang
temen temen cari J

























Assalamualaikum warahmatullahi wabarokatuh, pada persentio data kelompok ,nilai fk nya bukan nya 4 ya min??
BalasHapus